Formula Matematik Spm Dalam Bahasa Melayu
Semoga bermanfaat kepada guru dan pelajarmurid. CARA MENDAPAT MARKAH TINGGI DALAM PENULISAN.
Formula Spm Matematik Soalan Spm
Kaji rajah dan jadual yang.
. Nota-Nota Matematik Tingkatan 1 dalam Bahasa MelayuPentaksiran Tingkatan 3. Matematik SPM Tingkatan 4 5. Nota Matematik Tingkatan 5 SPM dalam subjek Bearing.
Nota Ringkas dan Padat Matematik Tambahan Tingkatan 5 SPM Bab 1 Bab 8. Download Ebook Formula Matematik Spm Webxmedia. Berikut merupakan Format Matematik SPM KSSM bermula 2021.
MODUL LATIHAN BERFOKUS SPM 2018 BAHASA MELAYU Kertas 2 UNTUK. Jangan lupa share kepada kawan2 ya pada group whasapp dan telegram. Formula Wajib Hafal Matematik Tambahan SPM.
Bab 1 2 3 4 5 6 7 8 9 10. Bahasa melayu sejarah matematik bahasa inggeris fizik kimia matematik tambahan biologi prinsip. Mudahnya pelajar sekarang ini.
Selain itu laman web ini juga mempunyai latihan mata pelajaran elektif seperti Matematik Tambahan Biologi Kimia Fizik Prinsip Perakaunan Perniagaan dan Ekonomi Asas. Dulu masa chegu tidak diberi formula ini. Sama-sama bantu membantu antara satu sama lain.
Modul Soalan Matematik Mathematics Skema Jawapan. Formula SPM Matematik - Soalan SPM. Contoh Formula Matematik Pt3 Tingkatan 1 2 3 Formula Flower Aesthetic.
Dalam Bahasa Melayu BM dan Bahasa Inggeris English. Sila jawab semua soalan ramalan yang diberi. Enroll in Course for FREE.
Setiap bab perlu dihafal setiap formula. Formula ini diberikan agar memudahkan pelajar-pelajar menjawab soalan. Contoh karangan kepentingan perpaduan kaum di malaysia.
Jarak Laju x Masa Laju JarakMasa Masa. Jarak Laju x Masa Laju JarakMasa Masa. Dengan kandungan yang intensif buku 160 contoh karangan SPM.
Download Formula Matematik Spm - SPM MATHEMATICS FORM 1 3 NOTES 1 SOLID GEOMETRY a Area and perimeter Triangle A 2 1 base height 2 1 bh Trapezium A sum of two parallel sides height 2 1 a b h Circle Area r2 Circumference 2 r Sector Area of sector 360 r2 Length of arc 2. RUMUS FORMULA PENTING MATEMATIK 1 Cari Jarak Masa Laju. Download Formula Matematik Spm - SPM MATHEMATICS FORM 1 3 NOTES 1 SOLID GEOMETRY a Area and perimeter Triangle A 2 1 base height 2 1 bh Trapezium A sum of two parallel sides height 2 1 a b h Circle Area r2 Circumference 2 r Sector.
Nota Ringkas dan Padat Matematik Tingkatan 4 Form 4 Mathematics SPM Bab 1 Bab 10. Murid-murid tidak perlu menghafalkannya. Contoh Karangan Bahasa Inggeris Spm - Spm Bahasa Inggeris Contoh Karangan English Essay.
Soalan 9 10 Soalan 11 Soalan 12 Soalan 13. 5 Chemistry Equations ListNota Kimia SPM dalam Bahasa Malaysia Form 4 Chemistry KSSM FORM 4 CHEMISTRY KSSM 02 The Structure of Atom Revision Notes Videos Questions Revision Notes The Particle Theory of MatterDiffusionDiffusion in SolidDiffusion in LiquidDiffusion in. Kertas latihan ini mengandungi 40 soalan percubaan.
Kebiasaannya formula matematik ada diberi pada setiap kertas-kertas peperiksaan. RUMUS FORMULA PENTING MATEMATIK 1 Cari Jarak Masa Laju. In this way we can work Maksud Homework Dalam Bahasa Malaysia towards a strong.
Bagaikan berpelangi160 Contoh Karangan SPM Bahasa Malaysia Sememangnya buku berkualiti dan mantap untuk pembelajaran yang berkesan bagi membantu murid menghadapi Kertas 1 SPM Bahasa Malaysia. Dimasukkan juga beberapa topik penting PMR yang akan disoal dalam kertas Matematik SPM. Menurut beberapa pendapat para ahli mendefinisikan karangan sebagai berikut.
Soalan dalam bahasa Inggeris mendahului soalan yang sepadan dalam bahasa Melayu. Formula Matematik Spm Tingkatan 5. Nota rujukan untuk subjek Matematik Tingkatan 4 dan 5.
Rumus Formula Penting Dalam Peperiksaan Matematik Online. Perniagaan Ekonomi Pendidikan Seni Visual PSV Pendidikan Islam Pendidikan Moral Tasawwur Islam Geografi Pendidikan Jasmani dan Pendidikan Kesihatan. Jarak Laju x Masa Laju JarakMasa Masa JarakLaju.
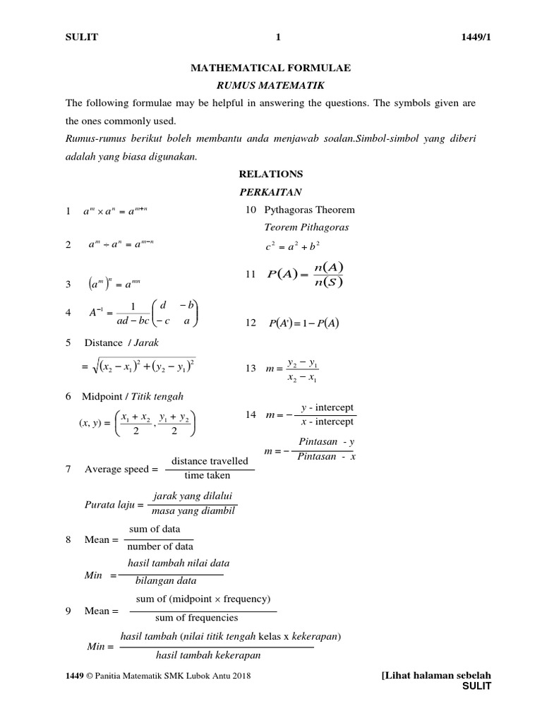
Simbol-simbol yang diberi adalah yang biasa digunakan. Buku Panduan Format SPM KSSM Matematik bermula 2021. Subjek yang berada di laman web ini termasuk mata pelajaran teras iaitu Bahasa Melayu Bahasa Inggeris Sejarah Matematik Sains Pendidikan Islam dan Pendidikan Moral.
Asas-asas matematik tersebut tidak melebihi Sukatan Pelajaran Menengah SPM. Round off 0010372 correct to three significant figures. Konsep matematik yang perlu digunakan merangkumi algebra dan geometri.
Klik sahaja button share tersebut. Bab 1 2. 3 Boy Ditulis Leo Hahn.
Konsep matematik yang perlu digunakan merangkumi algebra dan geometri. Semoga berjaya dalam ujian SPM sebenar. Ditulis Leo Hahn Sabtu 12 Maret 2022 Tulis Komentar Edit.
QA SPM Tingkatan 45 KSSM. Spm Add Maths Formula List Form4 Maths Formulas List Math Formulas Math Spm Add Maths Form4 Form 5 Revision Notes Finding A New Function Given A Composite Function Case A Fir Revision Notes Physics And Mathematics Math Projects. Oleh yang demikian soalan-soalan ini dianggap sesuai untuk kesemua calon.
Oleh yang demikian soalan-soalan ini dianggap sesuai untuk kesemua calon. Formula SPM Matematik. 26082013 PERATURAN PEMARKAHAN BM KERTAS 1 PERATURAN PEMARKAHAN BAHASA MELAYU SPM.
FIRASAT PT3 Kertas Model PT3. Semoga perkongsian bahan-bahan rujukan panduan bahan pembelajaran dan pengajaran contoh-contoh karangan sumber rujukan PT3 Pentaksiran Tingkatan 3 tingkatan 1 tingkatan 2 tingkatan 3 dalam post di blog Bumi Gemilang berguna dan dapat membantu para. Nota Padat dan Ringkas Matematik Tingkatan 5 SPM dalam Bahasa Melayu 1.
About Book Dialogue Fair. Nota yang disediakan adalah kebanyakannya dalam Bahasa Melayu dan mengikut cara pemahaman dan penyelesaian saya sendiri. Prisms Volume Base X.
Berminat belajar trading saham percuma. Modul MIP Matematik SPM Trg 21 Jawapan Modul MIP Matematik SPM Trg 21. Formula dibawah mungkin boleh membantu anda menjawab soalan.
Asas-asas matematik tersebut tidak melebihi Sukatan Pelajaran Menengah SPM. Kertas peperiksaan ini adalah untuk subjek Matematik dan dalam dwibahasa. Formula matematik berikut akan diberi semasa peperiksaan PT3 percubaan dan sebenar.
Format instrumen peperiksaan spm mata pelajaran bahasa melayu 1103 bermula tahun 2021. Bahasa Melayu BM Sejarah Matematik Bahasa Inggeris Sejarah Kertas 3 Kimia Matematik Tambahan Fizik Biologi Prinsip Perakaunan Sains.
Rumus Matematik Examonline Spa

Comments
Post a Comment